Proses mencari derivatif disebut dengan differensial. Siir isaac newton pada dasarnya konsep turunan sering sekali digunakan dalam kehidupan sehari hari baik dalam ilmu matematika atau ilmu yang lainnya.
Aturan Dasar Turunan Fungsi Aljabar Materi Lengkap Matematika
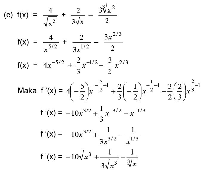
Contoh soal turunan pertama. 1 tentukan turunan pertama dari fungsi berikut. A fx 3x 4 2x 2 5x f x 43x 4 1 22x 21 5x 1 1 f x 12x 3 4x 1 5x 0 f x 12x 3 4x 5. B fx 2x 3 7x f x 6x 2 7. Turunan kedua merupakan turunan yang diperoleh dengan menurunkan kembali turunan pertama. Turunan tersebut didefinisikan sebagai limit dari perubahan rata rata dari nilai fungsi terhadap variabel x. Penggunakan untuk turunan kedua ini antara lain untuk.
Berikut merupakan beberapa penerapan turunan. Contoh soal turunan dan pembahasannya latihan soal turunan fungsi aljabar pembahasan soal soal turunan sifat sifat turunan. Bentuk limit di atas disebut dengan derivatif atau turunan pertama fungsi fx dan ditulis fx. 1 tentukan turunan pertama dari fungsi berikut. Turunan kedua dari yfx terhadap x dinotasikan sebagai berikut. Selanjutnya akan dijelaskan mengenai contoh penerapan turunan.
A fx 3x 4 2x 2 5x b fx 2x 3 7x. Pembahasan rumus turunan fungsi aljabar bentuk ax n. Pembahasan rumus turunan fungsi aljabar bentuk ax n. Download rangkuman contoh soal turunan kelas xi11 dalam bentuk pdf klik disini contoh soal pembahasan turunan kelas xi11. Untuk turunan lain tersaji dalam penjelasan dibawah ini. Turunan kedua dari suatu fungsi y fx adalah turunan dari turunan pertama dan diberi lambang.
Perhatikan contoh berikut. Turunan suatu turunan fungsi yang ditulis dengan notasi dengan rumus. A fx 3x 4 2x 2 5x b fx 2x 3 7x. Demikianlah pembahasan mengenai turunan trigonometri pengertian rumus dan 11 contoh soal semoga dengan adanya ulasan tersebut dapat menambah wawasan dan pengetahuan kalian semua terima kasih banyak atas kunjungannya. Turunan dapat diterapkan untuk menghitung gradien dari garis singgung suatu kurva. Selain fungsi turunan juga seringkali ditulis dengandalil dalil turunan fungsi aljabar jika k merupakan suatu bilangan konstan maka untuk setiap x berlaku jika n suatu bilangan bulat maka berlaku jika dan merupakan fungsi dan k adalah bilangan.
















