Ubah persamaan liner berikut menjadi persamaan matriks dan cari nilai x1 x2 x3 dan x4. Adapun soal dan pembahasan untuk teknik menyelesaikan pd yang lain ada pada pranala berikut ini.
Modul 3 Transformasi Laplace
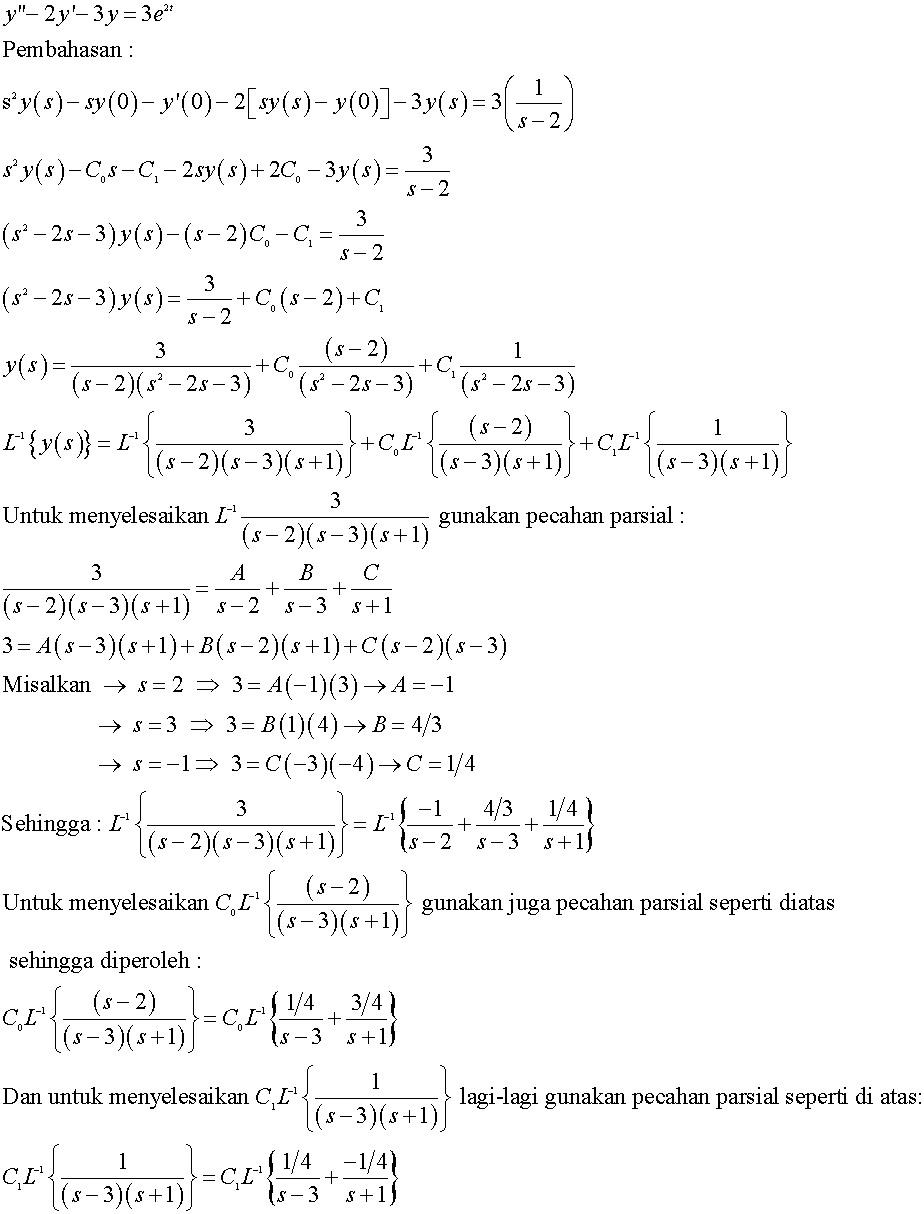
Contoh soal transformasi laplace persamaan diferensial. Turunan integral persamaan diferensial dan transformasi laplace dalam penerapannya di bidang teknik elektro diktat perkuliahan matematika terapan oleh. Contoh soal cerita iv. Inilah yang anda cari tentang contoh soal transformasi laplace persamaan diferensial. Contoh soal transformasi laplace persamaan diferensial. Persamaan diferensial linear orde 1 ciri ciri sifat linearitas pada persamaan diferensial persamaan diferensial eksak. Ubah persamaan liner berikut menjadi persamaan matriks dan cari nilai x1 x2 x3 dan x4.
Review definisi dasar fungsi variabel turunanderivatif beberapa aturan pada operasi turunan latihan soal. Contoh soal transformasi laplace dan jawabandocx. Bila persamaan aljabar dalam dipecahkan maka penyelesaian dari persamaan diferensial transformasi laplace balik dari variabel tidak bebas dapat diperoleh dengan menggunakan tabel transformasi laplace. Turunan integral persamaan diferensial dan transformasi laplace dalam penerapannya di bidang teknik elektro. Pisahkan fs ke dalam pecahan pecahan parsialnya. Deny budi hertanto mkom.
Dengan menggunakan tabel transformasi laplace di frame 6. Metode yang dimaksud adalah metode penyelesaian dengan variabel terpisah. Transformasi laplace dan persamaan diferensial untuk pemodelan signal dalam bentuk matematis by fauzani5uyunk in types presentations. Dengan menggunakan tabel transformasi laplace di frame 6. Suatu kelebihan metode transformasi lapalace adalah bahwa metode ini memungkinkan penggunaan teknik grafis untuk meramal kinerja sistem tanpa. Fakultas teknik universitas negeri yogyakarta semester ganjil tahun 20092010 matematika terapan materi i.
Contoh soal transformasi laplace persamaan diferensial. Setelah mempelajari soal latihan persamaan diferensial dasar sekarang saatnya kita mempelajari metode untuk menyelesaikan suatu persamaan diferensial yang selanjutnya disingkat sebagai pd. Transformasi laplace dan persamaan diferensial untuk pemodelan signal dalam bentuk matematis.

















