Materi notasi sigma memang rasanya tidak begitu menguras otak sehingga kita dapat dengan cepat mempelajarinya. By azzahra rahmah posted on december 19 2019.
Kumpulan Soal Ulangan Barisan Deret Dan Notasi Sigma Beserta
Contoh soal notasi sigma beserta pembahasanya. Semangatlah dan setiap mempelajari materi matematika yang ada maka hasilnya akan maksimal. Contoh soal notasi sigma pilihan ganda beserta jawabannya tim kami kali ini akan menyediakan contoh soal notasi sigma dan pembahasan sebanyak 15 butir yang kami rangkum dari berbagai penerbit buku untuk siswa pelajari dalam persiapan ulangan harian maupun ujian nasional. Notasi sigma adalah jumlah dari fungsi yang domainnya telah ditentukan batas awal dan batas akhirnya. If you continue browsing the site you agree to the use of cookies on this website. Soal soal notasi sigma barisan deret dan induksi matematika slideshare uses cookies to improve functionality and performance and to provide you with relevant advertising. Notasi sigma pengertian materi sifat rumus contoh soal.
Karena soal ini sering muncul pada berbagai tes atau ujian nasional usbn ataupun unbk. Download kumpulan soal ulangan barisan deret notasi sigma dalam bentuk pdf klik disini soal no2 dalam perlombaan mengambil kelereng. Contoh soal notasi sigma. Terdapat banyak sekali contoh kasus atau model soal notasi sigma yang bisa anda teukan karena sejatinya untuk menguji pemahaman anda soal matematika selalu dibolak balik. 8 kelereng diletakan pada garis lurus diketahui dua kelereng yang berdekatan memiliki jarak 6 meter. Kami telah mewarnai masing masing sifat tersebut guna lebih memudahkan untuk mengerjakan 5 soal di bawah ini.
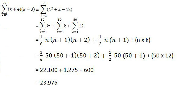
Contoh soal notasi sigma beserta pembahasanya. Buatlah notasi sigma dari 3 5 7 9. Notasi sigma pengertian materi sifat rumus contoh soal by azzahra rahmah posted on december 19 2019 rumuscoid setelah sebelumnya kita membahas tentang spltv kali ini kita akan membahas materi tentang notasi sigma lengkap kita akan jabarkan secara detail dan lengkap dari pengertian materi sifat sifat rumus dan contoh soal beserta pembahasannya. Jika anda paham konsep sebenarnya maka bagaimanapun bentuk kasusnya akan dengan mudah untuk dikerjakan. Dengan menggunakan sifat notasi sigma buktikan bahwa. Contoh soal notasi sigma beserta pembahasanya kumpuan contoh soal pengertian rumus dan sifat sifat notasi sigma notasi sigma latihan dan pembahasan soal soal matematika sma tutorial singkat pelajaran soal rumus notasi sigma wardaya college.
Adapun sifat sifat notasi sigma yakni. Notasi sigma sebelum kalian membaca ulasan secara lebih detail tentang sifat dan rumus notasi sigma matematika perlu diberitahukan bahwa di pertemuan sebelumnya telah saya bahas juga tentang sifat dan rumus logaritma yang bisa kalian baca sebagai salah satu referensi ilmu untuk lebih bisa memahami dan mengerti tentang logaritma didalam ilmu matematika karena tidak bisa dipungkiri bahwa. Sifat sifat umum notasi sigma. Notasi sigma dilambangkan dengan σ.

















