Nah simak langsung dibawah ini ya. Segitiga sama sisi merupakan equiangular yaitu semua tiga sudut internal kongruen antara satu sama lain dan masing masing 60.
Rumus Menghitung Luas Segitiga Cara Aimyaya Cara Semua Cara
Contoh soal luas segitiga. Nah itulah pembahasan lengkap materi luas segitiga trigonometri berikutnya kita akan belajar rumus jumlah dan selisih trigonometri. Contoh contoh soal. Mereka poligon reguler dan sebab itu bisa juga disebut sebagai segitiga regular. Soal luas dan keliling segitiga ini terdiri dari 20 soal pilihan ganda dan 10 soal uraian. L ½ x alas x tinggi ½ x a x t. Untuk lebih jelasnya perhatikan contoh soal luas segitiga dan penyelesaiannya dibawah ini.
Cari dan hitunglah luas segitiga tersebut. Contoh soal luas segitiga. Dengan adanya soal ini semoga bisa membantu bapak ibu wali murid wali kelas yang membutuhkan soal luas dan keliling segitiga untuk bahan ajar putra putri anak didik yang duduk di bangku sekolah dasar kelas 4 5 dan 6. Rumus luas segitiga ini berlaku untuk mencari luas semua jenis segitiga baik itu segitiga sama kaki segitiga sama sisi segitiga sembarang segitiga siku siku segitiga lancip dan segitiga tumpul. Jika ada kendala atau permasalahan silahkan anda tuliskan di kolom komentar. Diketahui segitiga abc dengan panjang ab 4 cm ac 3 cm dan a 135.
Ada sebuah segitiga lancip yang memiliki panjang alasnya12 cm dan juga memiliki tinggi10 cm. Rumus luas segitiga dan contoh soal yang keluar di un serta pemabahasanya lengkap mulai dari soal yang paling sederhana mudah sampai dengan soal yang sulit dan tentu saja akan kami pandu dalam proses penyelesainya kepada sahabat semua. Pada segitiga siku siku cukup dengan 1 sisi dan 1 sudut tidak termasuk sudut siku siku ataupun 2 sisi diketahui kita telah dapat menentukan sisi dan sudut lainnya yaitu dengan menggunakan. A 12. Jika anda sudah paham dengan materinya silahkan baca dan cermati contoh soal dan pembahasannya di bawah ini. Pada materi bangun datar sebelumnya kita telah membahas jenis jenis segitiga apa itu segitiga tumpul segitiga lancip dan juga rumus luas dan keliling sebuah segitiga.
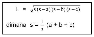
Sebelum mencoba untuk memahami contoh soal di bawah ini alangkah baiknya anda membaca terlebih materi tentang cara mencari keliling dan luas segitiga. Maka pada lanjutan topik segitiga kali ini sesuai dengan janji sebelumnya kita akan masuk ke pembahasan soal soalnya. Berikut adalah penjelasan lengkap mengenai segitiga sama sisi yaitu meliputi rumus gambar sifat dan contoh soal. Contoh soal aturan sinus cosinus luas segitiga trigonometri beserta kunci jawaban dan pembahasannya pada dasarnya segitiga terdiri dari 3 sisi dan 3 sudut dengan jumlah ketiga sudut yaitu 180. Contoh soal luas segitiga. Jika tulisan ini bermanfaat silahkan share kesemua media sosial kamu dan jangan lupa untuk memberikan penilaian pada artikel ini.
Sedangkan luas segitiga siku siku menggunakan rumus l 12 x luas alas x tinggi. Hitunglah luas segitiga tersebut. Tentukan luas daerah dari segitiga tersebut. K sisi a sisi b sisi c. Sebuah segitiga lancip memiliki panjang alas 12 cm dan tinggi 10 cm.















