Salah satu aplikasi dari algoritma jaringan syaraf tiruan adalah untuk kasus prediksi. Jaringan syaraf tiruan adalah merupakan salah satu representasi buatan dari otak manusia yang selalu mencoba untuk mensimulasikan proses pembelajaran pada otak manusia tersebut.
Jaringan Syaraf Tiruan Ii Media Informatika
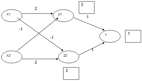
Contoh soal jaringan syaraf tiruan backpropagation. Kembali 1jelaskan secara singkat yang dimaksud dengan jaringan saraf tiruan. Inilah pembahasan selengkapnya mengenai contoh soal jaringan syaraf tiruan backpropagation. 8 responses to backpropagation neural network jaringan saraf tiruan backpropagation riski syendi december 12 2013 at 255 pm kita juga punya nih artikel mengenai backpropagation silahkan dikunjungi dan dibaca berikut linknya. Soal ujian komputer dan masyarakat. Jaringan saraf tiruan merupakan representasi buatan dari otak manusia jaringan ini diimplementasikan menggunakan program komputer melalui beberapa pelatihan. Salah satu jenis metode pembelajaran jaringan syaraf tiruan adalah backpropagation.
Admin blog contoh soal terbaru 2019 juga mengumpulkan gambar gambar lainnya terkait contoh soal jaringan syaraf tiruan backpropagation dibawah ini. Jawab perceptron adalah salah satu metode pelatihan jaringan saraf tiruan yang memakai prosedur algoritma. Menghasilkan aturan atau operasi dari beberapa contoh input yang dimasukan dan membuat prediksi tentang kemungkinan output yang akan muncul atau menyimpan karakteristik input yang diberikan kepada jaringan syaraf tiruan. Jaringan saraf tiruan dapat digunakan sebagai mengurangi biaya dapat memberikan keahlian tambahan sebagai perencanaan perawatan mesin. Model jaringan syaraf ditunjukkan dengan kemampuannya dalam emulasi analisis prediksi dan asosiasi. Backpropagation merupakan model jst.
Makalah flip flop bistable. Istilah buatan digunakan karena jaringan syaraf ini diimplementasikan dengan menggunakan program komputer yang mampu menyelesaikan sejumlah proses perhitungan selama proses pembelajaran. 2jelaskan tentang proses perceptron. Setelah fase pembelajaran keahlian jaringan syaraf tiruan dapat digunakan sebagai mengingatkan. Jaringan saraf tiruan dapat terlatih secara dengan membedakan suara mesin dalam operasi normal false alarm dari yang di mana mesin hampir memiliki masalah. Contoh jaringan saraf tiruan perceptron.
Kali ini saya akan membagikan file excel perhitungan metode backpropagation pembuktian dari fungsi xor. Berikut ini merupakan contoh aplikasi pemrograman matlab untuk memprediksi curah hujan menggunakan algoritma jaringan syaraf tiruan propagasi balik backpropagation neural network. Kemampuan yang dimiliki jaringan syaraf tiruan dapat digunakan untuk belajar dan menghasilkan aturan atau operasi dari beberapa contoh atau input yang dimasukkan dan membuat prediksi tentang kemungkinan output yang akan muncul atau menyimpan karakteristik input yang diberikan kepada jaringan.













