Dibatasi oleh kurva tertutup. Pembahasan soal integral un sma 2018 duration.
Integral Berulang Kalkulus Dan Aplikasinya
Contoh soal integral lipat dua. Integral lipat dua pada daerah persegi panjang dan daerah sebarang. Rosi atmaja 85478 views. Pada kesempatan kali ini akan dibahas mengenai integral lipat dua. Dalam hal ini yang akan dibahas adalah asal mula integral lipat dua. Unsubscribe from malik abdul aziz. Contoh soal dan pembahasan integral lipat 2.
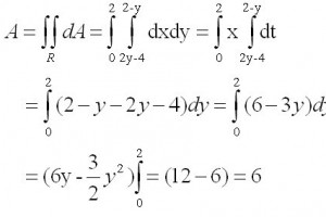
Namun sebelum beranjak ke contoh soal ada baiknya kita sedikit ingat kembali tentang apa itu integal lipat dua serta cara menggunakannya. Contoh yang akan kita bahas adalah penerapan integral lipat dua dalam mencari sebuah volume v dan juga titik pusat massa. Daerah di dalam bidang datar disebut daerah tertutup sederhana jika daerah. Kalkulus ii integral lipat dua malik abdul aziz. Untuk memberikan pemahaman kepada pembaca tentang materi tersebut berikut disajikan beberapa soal terkait terkhusus untuk integral lipat dua yaitu integral. Hitung luas daerah yang dibatasi oleh x y 2 dan 2y x y.
Berikut ini adalah contoh soal beserta pembahasan nya. Sekian ulasan tentang integral lipat dua semoga sekarang anda telah memahami materi tentang integral lipat dua ini. Luas dari suatu bidang dapat dipandang dengan sustu integral lipat dua jika fxy1 sehingga integral lipat dua menjadi. Soal dan pembahasan integral lipat duadoc. Dan setiap garis garis yang sejajar dengan sumbu sumbu koordinat paling banyak hanya mempunyai dua titik potong dengan kurva. Integral berulang kadang juga dikenal sebagai integral ganda atau integral lipat adalah materi kalkulus lanjut yang dipelajari secara mendalam untuk menganalisis masalah luas dan volume baik pada bidang dua dimensi maupun tiga dimensi.















