Deret ini dapat dianggap sebagai limit polinomial taylorderet taylor mendapat nama dari matematikawan inggris brook taylor. Dimana order 012 dan 3 perkiraan fungsi tersebut pada titik xi 1 1 dan pada titik xi 1 1 berada pada jarak 1 dari titik x 0 jawab.
Deret Taylor Diferensial Numerik
Contoh soal deret taylor dan penyelesaiannya. Dalam matematika deret taylor adalah representasi fungsi matematika sebagai jumlahan tak hingga dari suku suku yang nilainya dihitung dari turunan fungsi tersebut di suatu titik. Kali ini kita akan membahas tentang baris dan. Deret dan transformasi fourier majalah 1000guru. Dan. Digunakan dalam perhitungan atau pendekatan nilai fungsi yang tidak bisa dihitung dengan manual. Di blog ini tidak akan di bahas secara detil dan tidak menggunakan bahasa yang terlalu ilmiah nanti bisa sakit mata dan pusing duluan jadi jangan jadikan postingan ini sebagai referensi utama.
Tentunya soal soal tersebut akan diberikan ketika kita sudah memahami tentang dasar dasar barisan dan deret geometri. Terdapat barisan dan deret aritmatika. Pada pembahasan sebelumnya dengan judul. Setelah dikalikan dan dijumlahkan menjadi sbb. Deret fourier deret taylor ganeshwicaksono. F 0 05 f 1 15 a.
Soal ini dapat dikerjakan dengan penjabaran biasa yang sesungguhnya akan lebih efektif menggunakan formula deret taylor. Dengan menggunakan deret taylor pada order berapa hasil penyelesaian numerik sama dengan penyelesaian eksak. Pada banyak keadaan c sama dengan nol contohnya pada deret. Deret fourier by muhamad rizal dirgantara on prezi. Bab 11 persamaan diferensial parsial 111 konsep konsep dasar. Kumpulan contoh soal deret fourier dan penyelesaiannya.
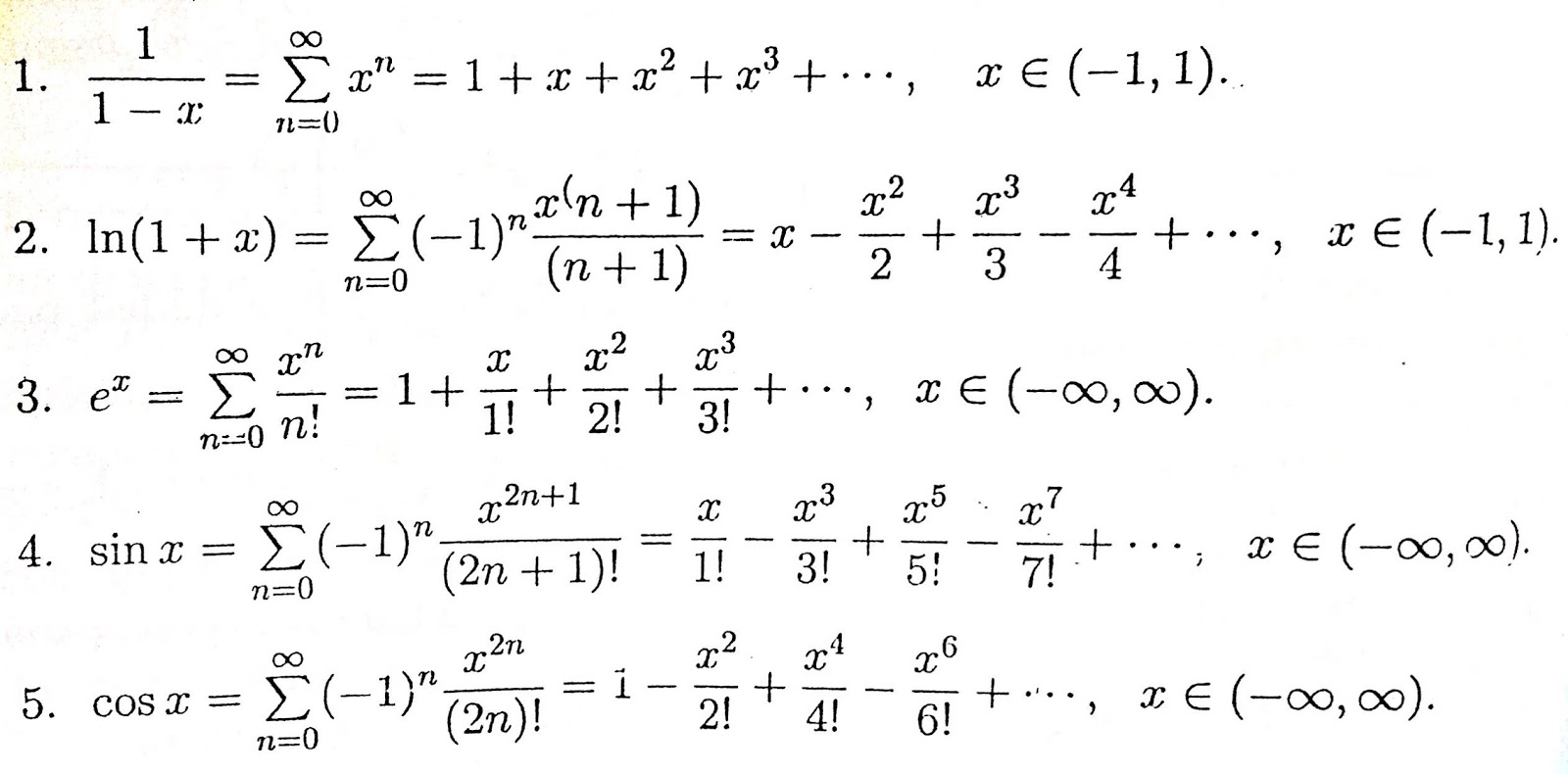
Tentunya soal soal. Deret pangkat satu variabel dalam matematika adalah deret tak terhingga dalam bentuk. Bagi kawan kawan yang pernah atau sedang belajar metode numerik pasti udah gak asing dengan deret taylor taylor series dan deret maclaurin maclaurin series. Berikut beberapa contoh soal dan penggunaan deret taylor dan deret maclaurin. Dengan menghubung hubungkan koefisien ruas kiri dan kanan kita akan menemukan jawabannya. Jika ada sedang mencari contoh soal deret taylor dan penyelesaiannya.
Dengan a n melambangkan koefisien suku ke n c adalah konstanta dan x berubah ubah di sekitar c karena alasan ini kadang kadang deret seperti ini dikatakan berpusat di cderet ini biasanya berupa deret taylor dari suatu fungsi. Contoh soal barisan dan deret aritmatika beserta jawabannya kita telah mencoba memahami barisan dan deret aritmatika dengan beberapa contoh soal. Deret fourier dan deret taylor myblog. Kegunaan deret taylor dan deret maclaurin ini salah satunya dalam metode numerik. Rumus barisan dan deret aritmatika beserta contoh soal dan penyelesaian lengkap aritmatika atau aritmetika berasal dari bahasa yunani αριθμός yang berarti angka yang dulu biasa disebut dengan ilmu hitung yaitu cabang tertua atau pendahulu dario matematika yang mempelajari operasi dasar bilangan.

















