Olenya itu pada kesempatan ini id ku akan membahas soal dan pembahasan penerapan lingkaran dalam kehidupanberikut ini beberapa kumpulan soal penerapan lingkaran dalam kehidupan. X 32 y 42 62 û x2 y2 6x 8y 11 0 2.
Garis Singgung Lingkaran Matematika Kelas 11 Quipper Blog
Contoh soal dan pembahasan persamaan lingkaran. Rumuscoid setelah sebelumnya kita membahas tentang rumus luas permukaan kubus kali ini kita akan membahas materi tentang rumus persamaan lingkaran kelas 8 kita akan jabarkan secara detail dan lengkap dari pengertian rumus bentuk umum dan contoh soal persamaan lingkaran melalui 2 titik atau 3 titik. Dalam kehidupan sehari hari kita sering menjumpai bagun yang permukaannya atau irisannya berupa lingkaran atau bidang lingkaran. Belajar persamaan lingkaran materi matematika kelas 11 sma dengan contoh soal dan pembahasan. Di sini dijelaskan mengenai apa itu persamaan lingkaran bentuk umum nya rumus menentukan titik pusat dan jari jari garis singgung contoh soal dan. Tentukan persamaan lingkaran yang berpusat 23 dan melalui titik 5 1. Soal persamaan lingkaran dan pembahasan nya 1.
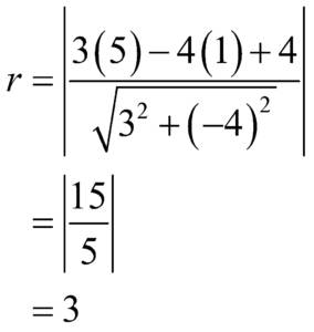
Tentukan persamaan lingkaran yang berpusat 23 dan melalui titik 5 1. Rangkuman materi bab lingkaran kelas xi 11 disertai contoh soal dan jawaban dengan pembahasan lengkapnya ayo masuk kesini. 1 berikut lukisan sebuah lingkaran pada sumbu x dan sumbu y. X 32 y 42 62 û x2 y2 6x 8y 11 0 2. Contoh soal pembahasan persamaan lingkaran 1. Hitung jari jari lingkaran dengan rumus sebagai berikut.
Titik tertentu tersebut dinamakan pusat lingkaran dan jarak yang tetap tersebut dinamakan jari jari lingkaran. Penyelesaian soal pembahasan. Contoh soal dan pembahasan tentang persamaan lingkaran sma widi sunday 22 january 2017 jika saat sd dan smp kalian sudah dikenalkan dengan lingkaran maka di sma kalian akan mempelajari lingkaran lagi. Artikel awal ini membahas persamaan lingkaran dengan pusat titik 0 0 titik a b dan bentuk umum persamaan lingkaran garis singgung pada lingkaran dibahas pada artikel tersendiri. Tentukan persamaan lingkaran yang berpusat di 4 3 dan menyinggung garis 3x 2y 2 0. Tentukan persamaan lingkaran yang berpusat 34 dan berjari jari 6.
Tentukan persamaan lingkaran yang berpusat 34 dan berjari jari 6. Rumus dan pembahasan contoh soal persamaan lingkaran matematika lingkaran adalah tempat kedudukan atau himpunan titik titik yang berjarak sama terhadap suatu titik tertentu.











