Soal nomor 1 diberikan dua buah fungsi masing masing fx dan gx berturut turut adalah. Pelajari rangkuman materi limit dilengkapi dengan contoh soal limit beserta pembahasan jawaban lengkap dari soal un dan sbmptn untuk kelas 11 limit dan kekontinuan fungsi.
Contoh Soal Dan Pembahasan Kekontinuan Fungsi Lengkap Guru
Contoh soal dan pembahasan kekontinuan fungsi lengkap. Sebelum masuk pada contoh soal ada baiknya jika terlebih dahulu membaca dan mengerti materinya. Berdasarkan definisi di atas dapat disimpulkan bahwa syarat fungsi kontinu bisa disingkat hanya pada poin terakhir saja yaituboldsymbollimlimitsx rightarrow c fxfcberikut contoh dan pembahasan kekontinuan fungsi yang bisa anda pelajari untuk lebih bisa memahami konsep fungsi kontinu. Penyajian rumussimbol matematika di sini menggunakan latex sehingga lebih smooth dari segi tampilan. Perhatikan contoh contoh berikut ini. Contoh soal dan pembahasan kekontinuan fungsi lengkap. Contoh soal dan jawaban limit kekontinuan dan teorema apit pada kesempatan kali ini saya akan memberikan beberapa contoh soal tentang limit dan kekontinuan plus dengan jawabannya.
Untuk soal limit fungsi trigonometri dipisahkan dalam postingan lain karena soalnya akan terlalu banyak bila ditumpuk menjadi satu. Soal nomor 1 diberikan dua buah fungsi masing masing f x dan g x berturut turut adalah. Contoh soal dan jawaban limit kekontinuan dan teorema apit pada kesempatan kali ini saya akan memberikan beberapa contoh soal tentang limit dan kekontinuan plus dengan jawabannya. Admin blog contoh soal terbaik 2019 mengumpulkan gambar gambar lainnya yang berhubungan dengan contoh soal dan pembahasan kekontinuan fungsi lengkap dibawah ini. Suatu fungsi dapat kontinu atau tidak kontinu di suatu titik. Pembahasan bab ini dibagi dalam dua bagian.
Definisi limit kanan misalkan fungsi f terdefinisi pada interval a b kecuali mungkin di alimit kanan f x ketika x mendekati a limit f x ketika x mendekati a dari sisi kanan sama dengan l ditulis limx to a fxl apabila nilai f x dapat dibuat sedekat mungkin ke l dengan cara mengambil nilai x yang cukup dekat ke a dan x a. Untuk contoh soal nomor 5 diskontinu di x 2 dan x 4 itu hanya contoh saja pak kita juga bisa memilih x yang lainnya. Dibahas limit fungsi yang meliputi pengertian sifat dan penghitungan nilai limit. F dikatakan kontinu di x c apabila. Fungsi riil adalah fungsi dengan daerah asal maupun daerah nilainya merupakan himpunan bagian dari ℝ. Pada fungsi contoh soal nomor 5 ada tiga interval nilai x dimana untuk pembagiannya terserah kita masing masing dan tujuannya agar ketiga grafik dari setiap interval x akan terhubung.
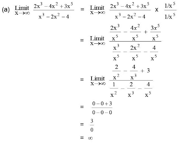
Soal juga dapat diunduh dengan mengklik tautan berikut. Berikut ini adalah contoh soal dan pembahasan super lengkap mengenai limit khusus fungsi aljabar. E lecture kalkulus 1 kekontinuan limit youtube. A f o gx b g o fx. Fx 3x 2 gx 2 x. Misalkan f adalah suatu fungsi riil.
Itulah berbagi kumpulan data terkait contoh soal dan pembahasan kekontinuan fungsi lengkap. Salah satu topik yang berkaitan dengan konsep limit fungsi adalah kekontinuan fungsi atau kontinuitas fungsi.








